L'aqueduc romain

Floursies - Bavay

(pour ne pas oublier son Histoire)

Sommaire
Page 01 Introduction Page 10
Les tournelles de Vieux Mesnil
Page 02 Ce que nos anciens ont écrit Page 11 De Vieux Mesnil à Bavay
Page 03 La Fontaine St Eloi à Floursies et les captages romains Page 12 L'aqueduc en chiffres
Page 04 L'aqueduc à Dourlers, Saint Aubin et Ecuélin Page 13 Canalisations en plomb
Page 05 La branche d'Eclaibes, Limont Fontaine et Ecuélin Page 14 Instruments de visée
Page 06 Secteur de Bachant et St Rémy du Nord Page 15 Principe du pont siphon
Page 07 Les bassins et piles à St Rémy du Nord Page 16 Les cartes
Page 08 La traversée de la Sambre Page 17 Contributeurs et ouvrages consultés
Page 09 Le mur de Boussières sur Sambre

L'aqueduc en chiffres

Nous avons donc parcouru les vingt kilomètres de cet aqueduc qui, partant de Floursies à la cote 184,50 débouche à Bavay aux environs de la cote 149 soit 35 mètres plus bas, par un parcours devenu bien imprécis. Tantôt aérien, tantôt souterrain, sa pente n'était toutefois pas régulière. Sur la rive droite de la Sambre, elle était en moyenne de 2,8 pour 1000 amenant son radier à la cote 156 aux environs du mur de Boussières, après un parcours de plus de dix kilomètres. Sur la rive gauche de la Sambre la différence des niveaux était plus faible et la pente, de 0,66 pour 1000 suffisante toutefois pour amener l'eau jusqu'à Bavay. Le tableau ci-après donne les niveaux de quelques points de passage de l'aqueduc. Nous y avons indiqué également les niveaux du radier, calculés avec les pentes moyennes que nous venons de déterminer.

La distance qui sépare les sources de Floursies du site de Bavay est de 19 km à vol d'oiseau. Avec les multiples détours que décrivait l'aqueduc d'un bout à l'autre du parcours la distance totale du conduit principal était pratiquement de 29 km.

Secteur séparant les sources de Floursies du territoire d'Ecuélin 8 km
Secteur séparant Ecuélin de la D 959 à St Rémy du Nord 4,380 km
Secteur concernant la traversée de la Sambre jusqu'aux Wattennes 2,315 km
Secteur allant des Wattennes jusqu'au mur de Vieux Mesnil 2,750 km
Secteur allant du mur de Vieux Mesnil jusqu'à Bavay 11,425 km
Total 28,870 km

Distance de Bavay en Km Lieu Niveau du sol ou des vestiges Niveau probable du radier de l'aqueduc
20,5
18


10,5

8,6
7
1,5
0
Fontaine de Floursies
Mur des Sarrasins, Dourlers
Crête Nord de Dourlers
Château d'Ecuélin
Mur de St Rémy
Rives de la Sambre
Mur de Boussières
Tournelles de Vieux Mesnil
Aqueduc de M. Henault
Partie S. E. de Bavay
185
175,35
180
173,30
155,20
127
153,20
152,80
env. 150
150
184,5
177


156

154
153
150,10
149
Pentes de l'aqueduc par R. Jolin
Pentes de l'aqueduc par R. Jolin. Voir en grand format.

Un calcul approximatif du débit de l'aqueduc à Dourlers donne 135 m3 / heure. En supposant qu'un débit analogue ait été fourni par les autres sources captées en cours de route à proximité d'Ecuelin, nous sommes bien près du débit de 250 m3 / heure que l'on trouve pour la section relevée par Henault à proximité de Bavay.Par contre les dimensions citées par Heylen donneraient un débit de 650 m3 / heure, hors de proportion avec ce que nous avons calculé précédemment. Il semble que le canal dont parle Heylen soit plutôt une des nombreuses galeries qui sillonnent le sous-sol de Bavay pour l'évacuation des eaux usées.

Calculs du débit de l'aqueduc
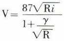
La formule de Bazin donne une valeur approximative de la vitesse moyenne d'écoulement des eaux dans un canal ouvert.
Formule de Bazin.

V = vitesse en mètres seconde
R = rapport de la section de la veine d'eau au périmètre mouillé
γ = coefficient qui dépend de la nature des parois du canal, de l'ordre de 0,10 dans le cas considéré
i = pente du canal

Son application donne le résultat suivant :
Aqueduc de Dourlers Aqueduc à 1,5 km de Bavay Section donnée par Heylen
Largeur en mètres
Hauteur en mètres
Hauteur supposée de l'eau
Valeur de R
Pente de l'aqueduc
Vitesse moyenne d'écoulement en m / seconde
Nous en déduisons les débits correspondants en m3 / heure
0,30
0,35
0,20
0,085
0,0028
0,62
135
0,40
0,50
0,40
0,130
0,00066
0,45
260
0,60
1,80
1,20
0,290
0,00066
0,90
650

*Sommaire*